Задать свой вопрос   *более 50 000 пользователей получили ответ на «Решим всё»

Задача 1410 а) Решите уравнение...

Условие

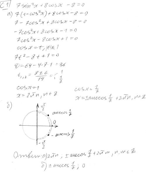
а) Решите уравнение 7sin^2x+8cosx-8=0
б) Найдите все корни этого уравнения, принадлежащие промежутку [-Pi/2;Pi/2]

математика 10-11 класс 74817

Решение



Ответ: в решение

Все решения

sin^2x=1-cos^2x

7(1-cos^2x)+8cos^2x-8=0

7-7cos^2x+8cosx-8=0

7cos^2x-8cosx+1=0

cosx=t

7t^2-8t^2+1=0

D=64-28=36

t1=1 t2=1/7

cosx=1 cosx=1/7

x=2пn или x=+-arccos1/7+2пm

sin^2x=1-cos^2x

7(1-cos^2x)+8cos^2x-8=0

7-7cos^2x+8cosx-8=0

7cos^2x-8cosx+1=0

cosx=t

7t^2-8t^2+1=0

D=64-28=36

t1=1 t2=1/7

cosx=1 cosx=1/7

x=2пn или x=+-arccos1/7+2пm

Вопросы к решению (1)

Написать комментарий

Меню

Присоединяйся в ВК