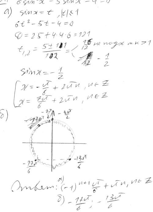
а) Решите уравнение 6sin^2x-5sinx-4=0 б) Найдите все корни этого уравнения, принадлежащие промежутку [-7Pi/2;-3Pi/2]
Ответ: В решение
мне непонятна часть "б" откуда вы нашли "-17пи/6;-13пи/6"?
Был произведён отбор корней по тригонометрической окружности, так проще и быстрее если уметь это делать. Но если не умеете надёжнее будет через неравенства
как находить корни уравнения???
по тригонометрической окружности, смотрите вопрос ответ выше
Почему t меньше или равняется 1
Потому что функция синус принимает значения от -1 до 1
Y=2x^3-x^6