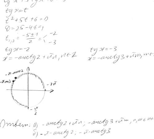
а) Решите уравнение tg^2x+5tgx+6=0 б) Найдите корни этого уравнения, принадлежащие промежутку [-2Pi;-Pi/2]
Ответ: В решение
почему сначала -arctg2 потом -arctg3 арктанегнс 3 по модулю же больше а ответ записывается с меньше к большему
По идее это не будет засчитано как ошибка. А в общем случае вы правы.
Почему указана ошибка в решении на счёт корней дискриминанта? В знаменателе и правда 2а, но а = 1, а 2*1=2, никакой ошибки нет
Потому что какой-то пользователь, не разобравшись в вопросе, решил блеснуть умом и опубликовал сообщение об ошибке. Но я его уже удалил.
Если в пункте Б написать -3п/2 + arctg2; -3п/2 + arctg3, это будет ошибкой?
Будет, это же совсем не сходится с ответом
Если решить только под а,это будет считаться за 1 балл?
Вроде да