Задать свой вопрос   *более 50 000 пользователей получили ответ на «Решим всё»

Задача 14076 Проверить выполнимость необходимого...

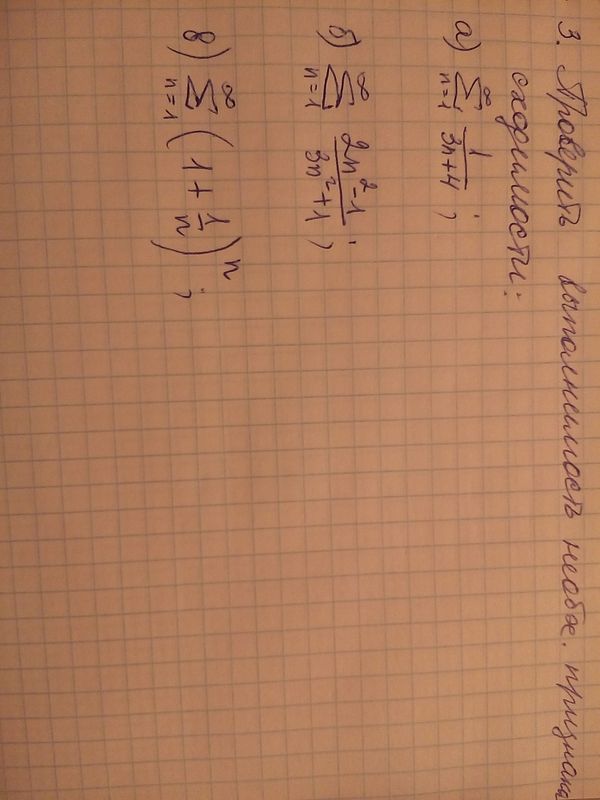
Условие

Проверить выполнимость необходимого признака сходимости

математика ВУЗ 1232

Решение

1) lim_(x→∞)1/(3n+4)=0
Выполняется.
Ряд может сходиться, может расходиться.
2)lim_(x→∞)(2n^2-1)/(3n^2+1)=2/3
не выполняется. Ряд расходится
3)lim_(x→∞)(1+(1/n))^n=e
не выполняется. Ряд расходится

Написать комментарий

Меню

Присоединяйся в ВК