Задать свой вопрос   *более 50 000 пользователей получили ответ на «Решим всё»

Задача 13950 Помогите решить интегралы...

Условие

Помогите решить интегралы

математика ВУЗ 1087

Решение

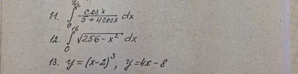
11.
Универсальная подстановка
tg(x/2)=t ⇒ cosx=(1-t^2)/(1+t^2)
x=2arctgt
dx=2/(1+t^2)

=∫^(1)_(0)(2-2t^2)dt/(1+t^2)*(t^2+9)=

интегрирование рациональных дробей.
Раскладываем подынтегральную дробь

=(1/2)∫^(1)_(0)dt/(t^2+1) -(5/2) ∫^(1)_(0)dt(t^2+9)=

=((1/2)artctgt-(5/2)*(1/3)arctg(t/3))|^(1)_(0)=

=(3/6)*(π/4)-(5/6)*(π/12)=4π/72=π/18.

2) x=16cost
dx=-16sintdt
sqrt(256-x^2)=sqrt(256-256cos^2t)=16sint

=∫^(0)_(π/2) 16 sint*(-16cost)dt=-256∫^(0)_(π/2) sintd(sint)=
=256∫^(π/2)_(0) sintd(sint)=256*(sin^2t/2)|^(π/2)_(0)=
=128

3) S=2∫^(4)_(2)(4x-8-(x-2)^3)dx=

=2*(2x^2-8x-(x-2)^4/4)^(4)_(2)=

=8

Написать комментарий

Меню

Присоединяйся в ВК