Задать свой вопрос   *более 50 000 пользователей получили ответ на «Решим всё»

Задача 13868 Автомобиль движется замедленно по дуге...

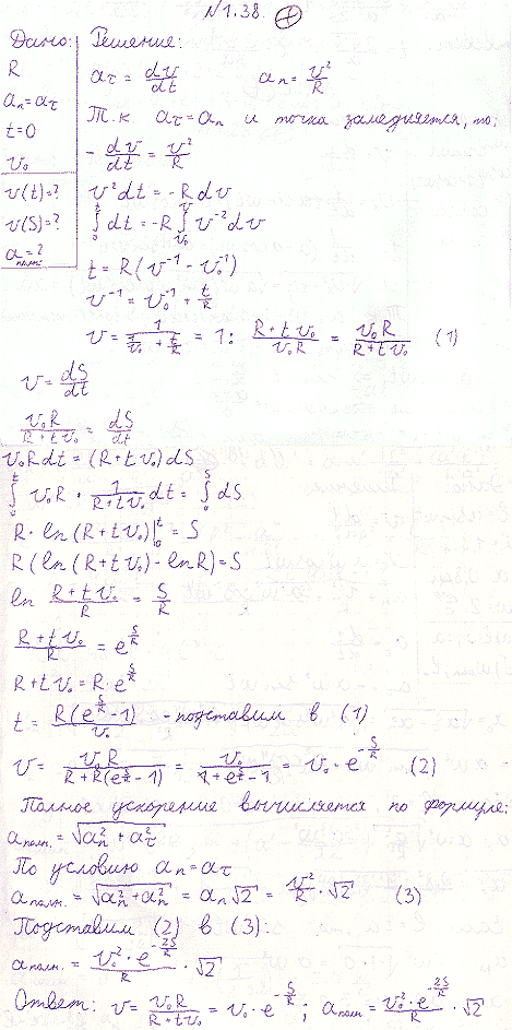
Условие

Автомобиль движется замедленно по дуге радиусом R = 10,0 м так, что его тангенциальное at и нормальное ускорение an в каждый момент времени равны друг другу по модулю. Найти скорость u и модуль полного ускорения a автомобиля к моменту времени, когда он прошел путь S = 10,0 м, если при t = 0 его начальная скорость u0 = 5,00 м/c

физика ВУЗ 1741

Решение

Написать комментарий

Меню

Присоединяйся в ВК