Задать свой вопрос   *более 50 000 пользователей получили ответ на «Решим всё»

Задача 13852 Вычислить....

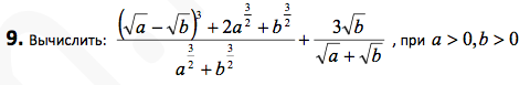
Условие

Вычислить.

математика 10-11 класс 999

Решение

(sqrt(a)-sqrt(b))^3+2a^(3/2)+b^(3/2)=
=a^(3/2)-3asqrt(b)+3sqrt(a)*b-b^(3/2)+2a^(3/2)+b^(3/2)=
=3sqrt(a)*(a-sqrt(a)sqrt(b)+b)

a^(3/2)+b^(3/2)=(a^(1/2))^3+(b^(1/2))^3=

=(sqrt(a)+sqrt(b))*(a-sqrt(a)sqrt(b)+b)

((sqrt(a)-sqrt(b))^3+2a^(3/2)+b^(3/2))/(a^(3/2)+b^(3/2))=

=(3sqrt(a)*(a-sqrt(a)sqrt(b)+b))/(sqrt(a)+sqrt(b))*(a-sqrt(a)sqrt(b)+b)=
=3sqrt(a)/(sqrt(a)+sqrt(b))

3sqrt(a)/(sqrt(a)+sqrt(b)) + 3sqrt(b)/(sqrt(a)+sqrt(b))=
3(sqrt(a)+sqrt(b))/(sqrt(a)+sqrt(b))=3
О т в е т. 3

Написать комментарий

Меню

Присоединяйся в ВК