Задать свой вопрос   *более 50 000 пользователей получили ответ на «Решим всё»

Задача 13638 Помогите решить интегралы, если можно...

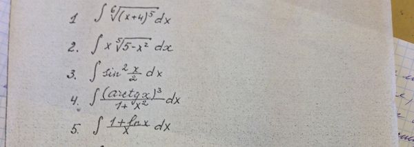
Условие

Помогите решить интегралы, если можно поподробнее пожалуйста

корень 6ой степени из (x+4)^5 dx

математика ВУЗ 1208

Решение

1-2 и 4-5 задачи на метод замены переменной.
1) u=x+4 ⇒ du=dx
По формуле
∫х^(α)dx=x^(α+1)/(α+1)

∫u^(5/6)du=u^((5/6)+1)/((5/6)+1)+C=
=(6/11)(x+4)^(11/6)+C

2)u=5-x^2 ⇒ du=-2x dx ⇒ (-1/2)du=xdx

(-1/2)∫u^(1/5)du=(-1/2)u^((1/5)+1)/((1/5)+1)+C=
=(-5/12)(5-x^2)^(6/5)+C

3)sin^2(x/2)=(1-cosx)/2
∫sin^2x(x/2)dx=∫(1-cosx)dx/2=(1/2)∫(1-cosx)=
=(1/2)*(x-sinx) +C

4) u=arctgx ⇒ du=dx/(1+x^2)
∫u^3du=u^4/4 + C=(arctgx)^4/4 + C

5)u=lnx+1 ⇒ du=dx/x

∫udu=u^2/2 + C=(lnx+1)^2/2 + C

Написать комментарий

Меню

Присоединяйся в ВК