Задать свой вопрос   *более 50 000 пользователей получили ответ на «Решим всё»

Задача 13526 1) 2log(sqrt(3))(7x-1)=12 2)...

Условие

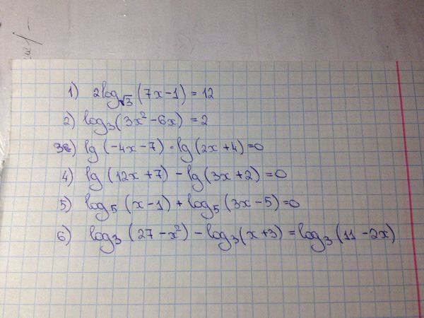
1) 2log(sqrt(3))(7x-1)=12
2) log3(3x^2-6x)=2

математика 10-11 класс 3861

Решение

1) ОДЗ: 7х-1 > 0 ⇒ x > 1/7
По свойству логарифма степени:
log_(sqrt(3))(7x-1)^2=12
По определению логарифма
(7x-1)^2=(sqrt(3))^(12);
(7x-1)^2=3^6
(7x-1)^2-(3^3))^2=0
(7x-1-27)*(7x-1+27)=0
7x-28)*(7x+26)=0
7x-28=0 или 7x+26=0
7x=28 7x=-26
x=4 или х=-26/7 не удовл ОДЗ
О т в е т. 4
2)ОДЗ: 3х^2-6x > 0 ⇒ 3x*(x-6) > 0
_+__ (0) __-__ (6) __+_
x < 0 или х > 6

По определению логарифма
3x^2-6x=3^2;
3x^2-6x-9=0
x^2-2x-3=0
D=(-2)^2-4*(-3)=4+12=16
x1=(2-4)/2=-2 или х2=(2+4).2=3
Оба корня принадлежат ОДЗ
О т в е т. -2; 3.
3) ОДЗ:
{-4x-7 > 0⇒ -4x > 7 ⇒ x < -7/4;
{2x+4 > 0 ⇒ 2x > -4 ⇒ x > -2

_ (-2) |||||| (-7/4) _

-2 < x < -7/4

Произведение равно 0 когда хотя бы один из множителей равен 0
lg(-4x-7)=0 или lg(2x+4)=0
По определению логарифма
-4х-7=10^0 или 2х+4=10^0
-4x-7=1 или 2х+4=1
-4х=1+7 2х=1-4
x=-2 x=-3/2
-2 не входит в ОДЗ
О т в е т. х=-3/2

4)ОДЗ:
{12x+7 > 0⇒ 12x > -7 ⇒ x > -7/12;
{3x+2 > 0 ⇒ 3x > -2 ⇒ x > -2/3.

-7/12=-21/36 > -24/36=-2/3
x > -7/12

Перепишем уравнение в виде
lg(12x+7)=lg(3x+2)
12x+7=3x+2
12x-3x=2-7
9x=-5
x=-5/9

-7/12=-21/36 < -20/36=-5/9
-5/9 принадлежит ОДЗ.
О т в е т. -5/9

5)ОДЗ:
{x-1 > 0⇒ x > 1;
{3x-5 > 0 ⇒ 3x > 5 ⇒ x > 5/3.

ОДЗ: x > 5/3

Применяем свойство суммы логарифмов
lоg_(5)(x-1)+lоg_(5)(3x-5)=0
log_(5)(x-1)/(3x-5)=0
(x-1)/(3x-5)=5^0
(x-1)/(3x-5)=1
x-1=3x-5
x-3x=-5+1
-2x=-4
x=2 принадлежит ОДЗ.
О т в е т. 2.

6) ОДЗ:
{27-x^2 > 0⇒ -3sqrt(3) < x < 3sqrt(3);
{x+3 > 0 ⇒ x > -3;
{11-2x > 0 ⇒ -2x > -11 ⇒x < 5,5
ОДЗ: -3 < x < 3sqrt(3)

Перепишем уравнение в виде
log_(3) (27-x^2)=log_(3)(x+3)+log_(3)(11-2x)
Применяем свойство суммы логарифмов
log_(3) (27-x^2)=log_(3)(x+3)(11-2x)
27-x^2=(x+3)*(11-2x);
27-x^2=11x+33-2x^2-6x;
2x^2-x^2-11x+6x+27-33=0
x^2-5x-6=0
D=25+24=49
x1=(5-7)/2=-1 или х2=(5+7)/2=6 - не принадлежит ОДЗ
О т в е т. -1

Написать комментарий

Меню

Присоединяйся в ВК