Задать свой вопрос   *более 50 000 пользователей получили ответ на «Решим всё»

Задача 13401 В опыте по изучению фотоэффекта...

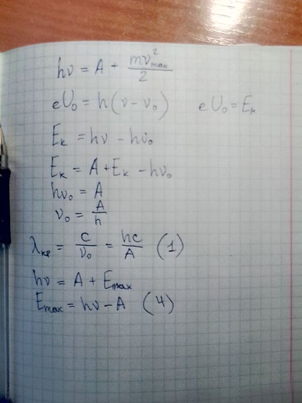
Условие

В опыте по изучению фотоэффекта металлическая пластина облучалась светом с частотой v. Работа выхода электронов из металла равна А_(вых). Установите соответствие между физическими величинами и формулами, но которым их можно рассчитать (h — постоянная Планка, с — скорость света в вакууме, m_(e) — масса электрона). К каждой позиции первого столбца подберите соответствующую позицию второго и запишите в таблицу выбранные цифры под соответствующими буквами.

физика 10-11 класс 4074

Решение

ответ. 14

Написать комментарий

Меню

Присоединяйся в ВК