Задать свой вопрос   *более 50 000 пользователей получили ответ на «Решим всё»

Задача 13318 Логарифмическое неравенство...

Условие

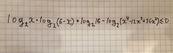
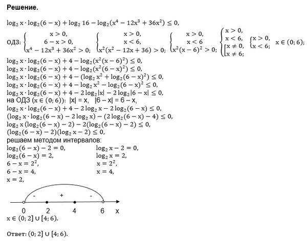
Логарифмическое неравенство log2(x)*log2(6-x)+log216-log2(x^4-12x^3+36x^2) меньше или равно 0

математика 10-11 класс 3583

Решение

ОДЗ:
{x > 0;
{6-x > 0 ⇒ x < 6
x∈(0;6)

Так как log_(2)(x^4-12x^3+36x^2)=

=log_(2)x^2*(x^2-12x+36)=

=log_(2)x^2+ log_(2)(x^2-12x+36)=( и при х∈(0;6))=

=2log_(2)x+2log_(2)(6-x), то неравенство принимает вид:

u*v+4-2u-2v меньше или равно 0,
u=log_(2)x; v=log_(2)(6-x)
v*(u-2)-2(u-2) меньше или равно 0;
(u-2)*(v-2) меньше или равно 0
Обратный переход:
(log_(2)x-2)*(log_(2)(6-x)-2) меньше или равно 0

Получаем совокупность двух систем:
1)
{log_(2)x-2 меньше или равно 0
{log_(2)(6-x)-2 больше или равно 0
или
2)
{log_(2)x-2 больше или равно 0
{log_(2)(6-x)-2 меньше или равно 0

1)
{log_(2)x меньше или равно 2
{log_(2)(6-x) больше или равно 2
или
2)
{log_(2)x больше или равно 2
{log_(2)(6-x) меньше или равно 2

1)
{ x меньше или равно 4
{ x меньше или равно 2
или
2)
{x больше или равно 4
{ x больше или равно 2
С учетом ОДЗ получаем ответ.
О т в е т. (0;2]U[4;6)

Все решения

Написать комментарий

Меню

Присоединяйся в ВК