Задать свой вопрос
*более 50 000 пользователей получили ответ на «Решим всё»
Задача 13264
...
Условие
slava191
28.01.2017
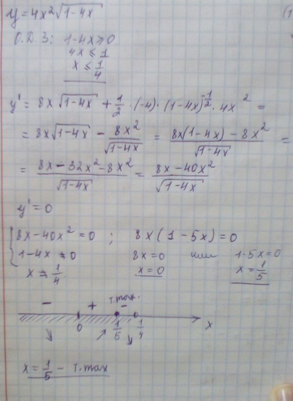
Найти точку максимума функции y=4x^2*sqrt(1-4x)
математика 10-11 класс
5469
Решение
vk165902784
29.01.2017
★
Написать комментарий
Меню
Решим всё
Найти задачу
Категории
Статьи
Тесты
Архив задач
Присоединяйся в ВК