Задать свой вопрос
*более 50 000 пользователей получили ответ на «Решим всё»
Задача 13191
1) (cos2x+sinx)/cosx = cosx/2 2)...
Условие
u94242181223
25.01.2017
1) (cos2x+sinx)/cosx = cosx/2
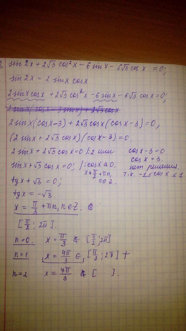
2) sin2x+2sqrt(3)cos^2x-6sinx-6sqrt(3)cosx=0
математика 10-11 класс
6067
Решение
vk165902784
25.01.2017
★
..
Написать комментарий
Меню
Решим всё
Найти задачу
Категории
Статьи
Тесты
Архив задач
Присоединяйся в ВК