Задать свой вопрос   *более 50 000 пользователей получили ответ на «Решим всё»

Задача 12934 ...

Условие

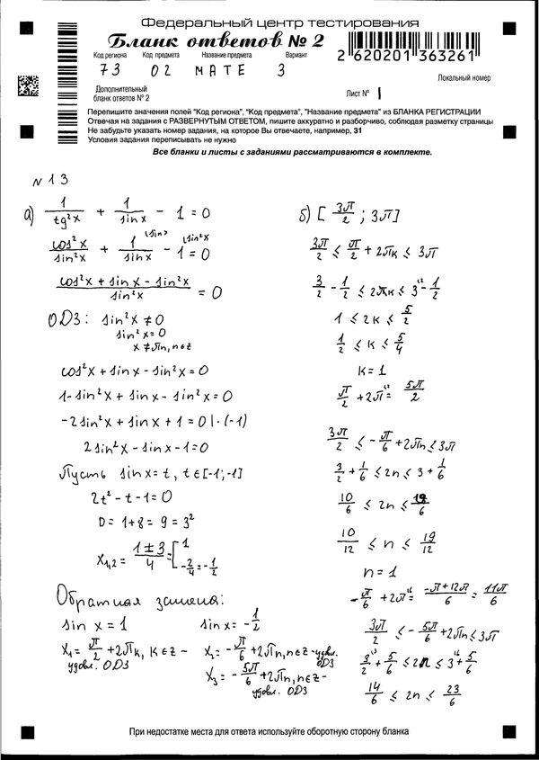
А) Решите уравнение 1/tg^2x+1/sinx-1=0
Б) Укажите корни этого уравнения, принадлежащие отрезку [3π/2; 3π]

математика 10-11 класс 31912

Решение

Ошибки в решение (1)

Решение

Пункт А выполнен не верно.

Написать комментарий

Меню

Присоединяйся в ВК