Задать свой вопрос   *более 50 000 пользователей получили ответ на «Решим всё»

Задача 12896 Решите неравенство log(x^2)(x-1) больше...

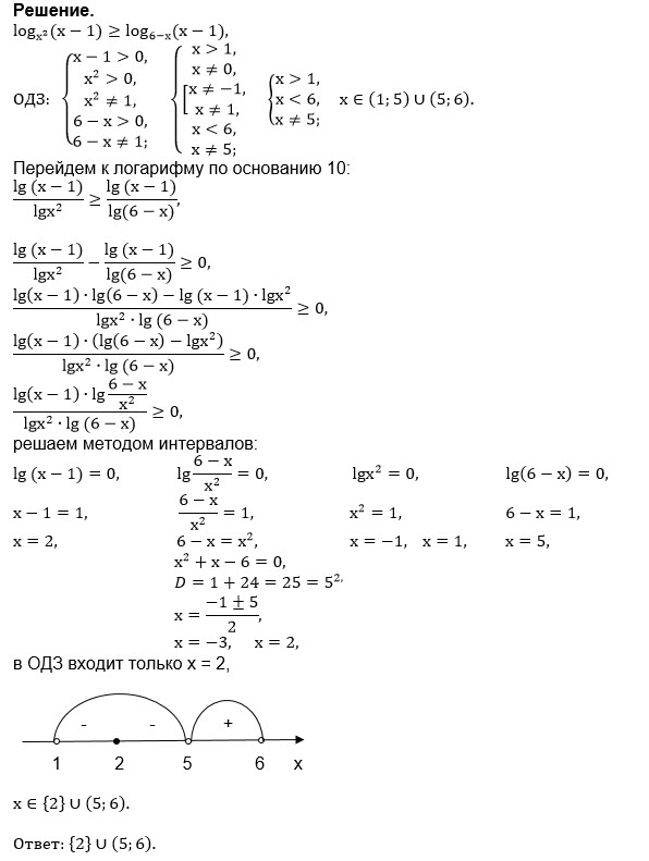
Условие

Решите неравенство log(x^2)(x-1) больше или равно log(6-x)(x-1)

математика 10-11 класс 13097

Решение

ОДЗ:
{x^2≠1;
{x-1 > 0;
{6-x > 0;
{6-x≠1
ОДЗ:х∈(1;5)U(5;6)
Перейдем к основанию (х-1) > 0, x-1≠1.
Заметим, что при х=2 данное неравенство принимает вид
log_(2^2)(2-1)≥ log,(4)(2–1)- верное неравенство, поэтому х=2 является решением данного неравенства.

1/log(x-1)x^2 ≥ 1/log(x–1)(6-x)
или
(log_(x-1)(6-x)-log_(x-1)x^2)/(log(x-1)x^2 *log(x–1)(6-x)) ≥0
Дробь положительна, когда числитель и знаменатель имеют одинаковые знаки
Решение неравенства сводится к совокупности двух систем:
1){(log_(x-1)(6-x))-(log_(x-1)x^2)≥0
{(log(x-1)x^2) *(log(x–1)(6-x)) > 0
или
2)){(log_(x-1)(6-x))-(log_(x-1)x^2)≤0
{(log(x-1)x^2) *(log(x–1)(6-x)) < 0

Решаем систему 1), которая сводится к совокупности двух систем:
1a){log_(x-1)(6-x) ≥ log_(x-1)x^2
{log(x-1)x^2 > 0
{log(x–1)(6-x)) > 0
или
1б){log_(x-1)(6-x) ≥ log_(x-1)x^2
{log(x-1)x^2 < 0
{log(x–1)(6-x)) < 0
Применяем метод рационализации логарифмических неравенств.
1a){(x-1-1)(6-x-x^2)≥ 0 ⇒ (x-2)^2*(x+3)≤0;
{(x-1-1)(x^2-1) > 0 ⇒ (x+1)*(x-1)(x-2) > 0;
{(x–1-1)(6-x-1) > 0 ⇒ (x-2)*(x-5) < 0;
или
1б){(x-1-1)(6-x-x^2)≥ 0 ⇒ (x-2)^2*(x+3)≤0;
{(x-1-1)(x^2-1) < 0 ⇒ (x+1)*(x-1)(x-2) < 0;
{(x–1-1)(6-x-1) < 0⇒(x-2)*(x-5) > 0.
Система 1а) не имеет решений, системы 1б) имеет решение(-бесконечность;-3], которое не принадлежит ОДЗ.

Решаем систему 2), которая сводится к совокупности двух систем:
2a){log_(x-1)(6-x) ≤ log_(x-1)x^2
{log(x-1)x^2 > 0
{log(x–1)(6-x)) < 0
или
2б){log_(x-1)(6-x) ≤ log_(x-1)x^2
{log(x-1)x^2 < 0
{log(x–1)(6-x)) > 0
Применяем метод рационализации логарифмических неравенств. Отвт=ет выбираем с учетом найденного ОДЗ.
2a){(x-1-1)(6-x-x^2)≤ 0 ⇒ (x-2)^2*(x+3)≥0;
{(x-1-1)(x^2-1) > 0 ⇒ (x+1)*(x-1)(x-2) > 0;
{(x–1-1)(6-x-1) < 0 ⇒ (x-2)*(x-5) > 0;
или
2б){(x-1-1)(6-x-x^2)≤0 ⇒ (x-2)^2*(x+3)≥0;
{(x-1-1)(x^2-1) < 0 ⇒ (x+1)*(x-1)(x-2) < 0;
{(x–1-1)(6-x-1) > 0⇒(x-2)*(x-5) < 0.
Система 2а) имеет решение [5;бесконечность) с учетом ОДЗ х∈(5;6)
Система 2б) не имеет решений.
О т в е т. х ∈{2}U(5;6)

Все решения

Написать комментарий

Меню

Присоединяйся в ВК