Задать свой вопрос
*более 50 000 пользователей получили ответ на «Решим всё»
Задача 12867
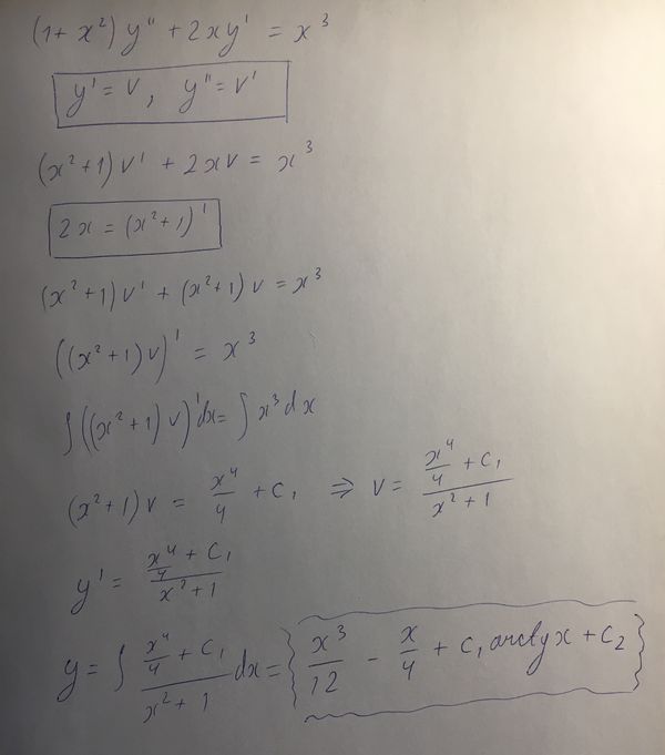
(1+x^2)y''+2xy'=x^3...
Условие
u178187251150
13.01.2017
(1+x^2)y''+2xy'=x^3
математика ВУЗ
7762
Решение
slava191
13.01.2017
★
Давно я не трогал дифуры, но вроде все так
Написать комментарий
Меню
Решим всё
Найти задачу
Категории
Статьи
Тесты
Архив задач
Присоединяйся в ВК