Задать свой вопрос   *более 50 000 пользователей получили ответ на «Решим всё»

Задача 12452 Решить неравенство:...

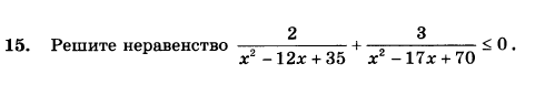
Условие

Решить неравенство:

математика 10-11 класс 3679

Решение

x^2-12x+35=(x-7)*(x-5)
x^2-17x+70=(x-7)*(x-10)

(2/(х-7)(х-5))+(3/(х-7)(х-10)) меньше или равно 0;
(2*(х-10)+3*(х-5))/((х-5)*(х-7)*(х-10)) меньше или равно 0;
(5*(х-7))/((х-5)*(х-7)*(х-10)) меньше или равно 0;
____+___ (5) ___-__ (7) __-___ (10) __+__

х∈(5;7)U(7;10)


Ответ: (5;7)U(7;10)

Написать комментарий

Меню

Присоединяйся в ВК