Задать свой вопрос   *более 50 000 пользователей получили ответ на «Решим всё»

Задача 12445 Небольшая шайба после толчка приобретает...

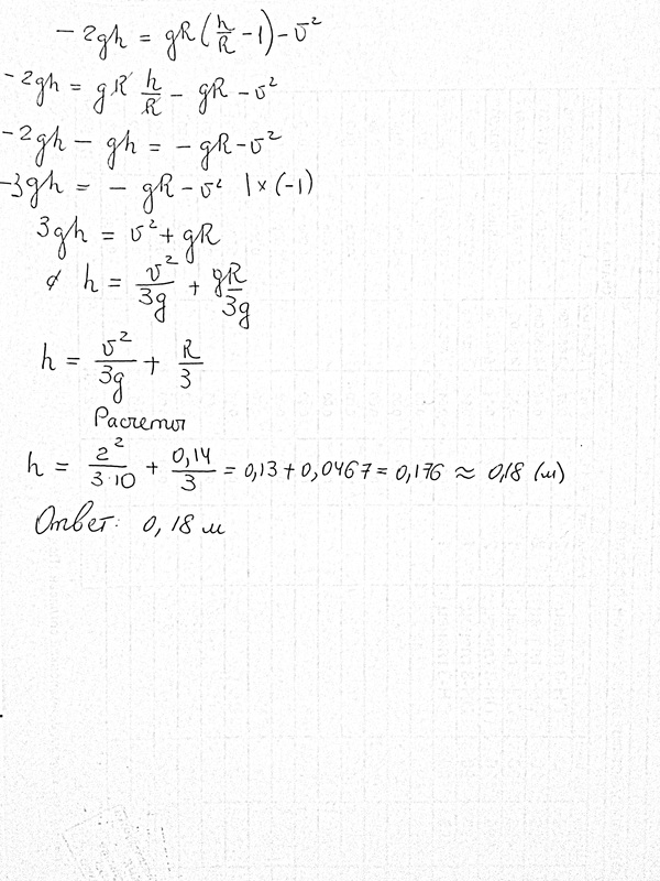
Условие

Небольшая шайба после толчка приобретает скорость v = 2 м/с и скользит по внутренней поверхности гладкого закрепленного кольца радиусом R = 14 м. На какой высоте h шайба отрывается от кольца и начинает свободно падать.

физика 10-11 класс 5320

Решение


Написать комментарий

Меню

Присоединяйся в ВК