Задать свой вопрос   *более 50 000 пользователей получили ответ на «Решим всё»

Задача 1238 Радиус основания конуса равен 5, а его...

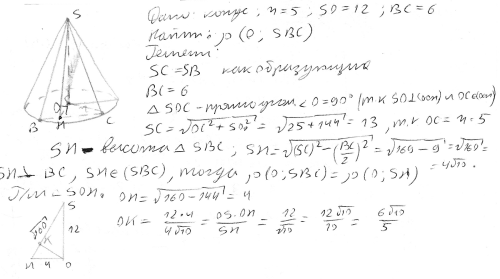
Условие

Радиус основания конуса равен 5, а его высота равна 12. Плоскость сечения содержит вершину конуса и хорду основания, длина которой равна 6. Найдите расстояние от центра основания конуса до плоскости сечения.

математика 10-11 класс 17257

Решение



Ответ: 6sqrt(10)/5

Вопросы к решению (1)

Написать комментарий

Меню

Присоединяйся в ВК