Задать свой вопрос   *более 50 000 пользователей получили ответ на «Решим всё»

Задача 12340 Выпишите первые три члена...

Условие

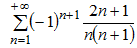
Выпишите первые три члена знакочередующейся ряда и исследуйте его на сходимость (-1)^(n+1)(2n+1)/(n(n+1))

математика ВУЗ 1100

Решение

a1=3/2
a2=-5/6
a3=7/12
Ряд сходится по признаку Лейбница
1) |a_(n)|=(2n+1)/n(n+1) → 0
2) (|a_(n)|)- монотонно убывающая, так как функция
f(x)=(2x+1)/x(x+1) монотонно убывает
f`(x)=2*(x^2+x)-(2x+1)*(2x+1)/(x^2*(x+1)^2)=
=-2(x^2+2x+2)/(x^2*(x+1)^2) < 0

Написать комментарий

Меню

Присоединяйся в ВК