Задать свой вопрос   *более 50 000 пользователей получили ответ на «Решим всё»

Задача 12332 Найти решения дифференциального...

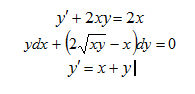
Условие

Найти решения дифференциального уравнения первого порядка:

y'+2xy=2x
ydx+(2sqrt(xy)-x)dy=0
y'=x+y

математика ВУЗ 2940

Решение

1) Уравнение с разделяющимися переменными
y`=dy/dx
dy=2x(1-y)dx
∫dy/(1-y)=∫2xdx
-ln|1-y)=x^2+C
2) однородное уравнение
Замена у=хu
dy=xdu+udx;
xudx=(x-2sqrt(x)*sqrt(xu))*(xdu+udx);
2usqrt(u)dx=x*(1-2sqrt(u))du;
dx/x=(1-2sqrt(u))du/2usqrt(u)
∫dx/x=∫(du/2usqrt(u))-∫du/u;
ln|x|=(-1/2)*(1/u)-ln|u|+C.
3) Линейное уравнение первого порядка. Метод вариации или метод Бернулли
Метод Бернулли.
у=uv
y`=u`v+uv`

u`v+uv`=x+uv
u`v+uv`-uv=x
условие на функцию u
u`-u=0
du/u=dx
lnu=x
u=e^x

uv`=x
v`=x*e^(-x)
Интегрирование по частям
u=-xe^(-x)-e^(-x)+C
y=uv=-x-1+Ce^x
О т в е т. у=Сe^x-x-1

Написать комментарий

Меню

Присоединяйся в ВК