Задать свой вопрос   *более 50 000 пользователей получили ответ на «Решим всё»

Задача 12097 Дано уравнение 2/(1+tg^2x)=1+sinx А)...

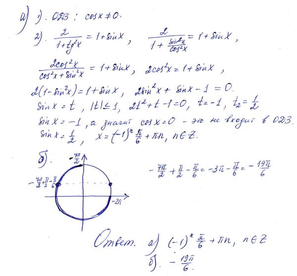
Условие

Дано уравнение 2/(1+tg^2x)=1+sinx

А) Решите уравнение.
Б) Найдите его корни, принадлежащие отрезку [-7Pi/2; - 2Pi]

математика 10-11 класс 11207

Решение

Ошибки в решение (1)

Написать комментарий

Меню

Присоединяйся в ВК