Задать свой вопрос   *более 50 000 пользователей получили ответ на «Решим всё»

Задача 11901 а) Решите уравнение...

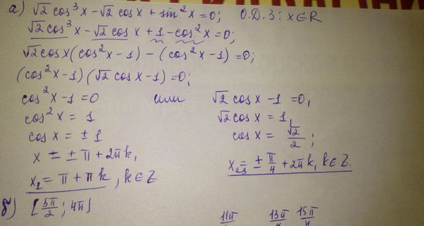
Условие

а) Решите уравнение sqrt(2)cos^3x-sqrt(2)cosx+sin^2x=0
б) Найдите все корни этого уравнения, принадлежащие отрезку [5Pi/2; 4Pi]

математика 10-11 класс 31217

Решение

Ошибки в решение (1)

Написать комментарий

Меню

Присоединяйся в ВК