Задать свой вопрос   *более 50 000 пользователей получили ответ на «Решим всё»

Задача 11898 а) Решите уравнение 2cos2x-8sinx+3=0 б)...

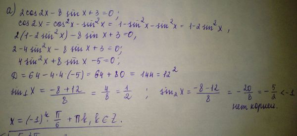
Условие

а) Решите уравнение 2cos2x-8sinx+3=0
б) Найдите все корни этого уравнения, принадлежащие отрезку [3Pi/2; 3Pi]

математика 10-11 класс 31702

Решение

Ошибки в решение (1)

Написать комментарий

Меню

Присоединяйся в ВК