Задать свой вопрос   *более 50 000 пользователей получили ответ на «Решим всё»

Задача 11897 а) Решите уравнение 6sin^2x+7cosx-1=0 б)...

Условие

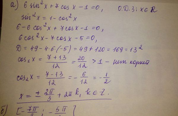
а) Решите уравнение 6sin^2x+7cosx-1=0
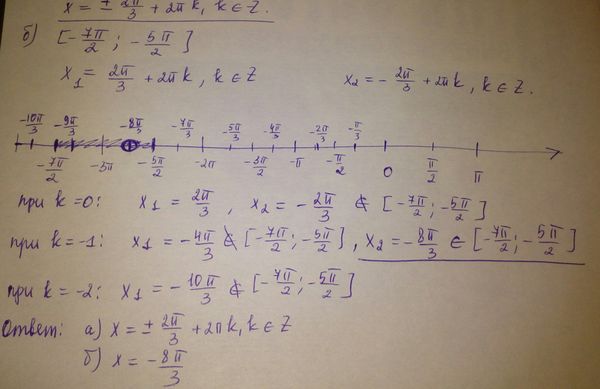
б) Найдите все корни этого уравнения, принадлежащие отрезку [-7Pi/2; -5Pi/2]

математика 10-11 класс 31675

Решение

Ошибки в решение (1)

Написать комментарий

Меню

Присоединяйся в ВК