Задать свой вопрос   *более 50 000 пользователей получили ответ на «Решим всё»

Задача 11738 Расположить в порядке возрастания...

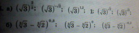
Условие

Расположить в порядке возрастания

математика 10-11 класс 1255

Решение

а)
Так как sqrt(3) > 1. Показательная функция возрастает.
-sqrt(2) < 0 < 2/3 < 1,2 < sqrt(2) < sqrt(3), значит

sqrt(3)^(-sqrt(2)) < sqrt(3)^0=1 < sqrt(3)^( 2/3) < sqrt(3)^(1,2) < sqrt(3)^(sqrt(2)) < sqrt(3)^( sqrt(3)).
б)0 < (∛3-∛2) < 1
Показательная функция убывающая.
-0,3 < 0 < 0,3

(∛3-∛2)^(0,3) < (∛3-∛2)^0=1 < (∛3-∛2)^(-0,3)

Написать комментарий

Меню

Присоединяйся в ВК