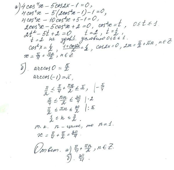
Дано уравнение 4cos^4x-5cos2x-1=0. А) Решите уравнение. Б) Укажите корни этого уравнения, принадлежащие отрезку [arccosO; arccos(-1)].
почему в уравнении одно решение, почему нет отрицательного значения?
ну вообще cosa = 0 - это частный случай. Получается один корень. Если вас смущает тот момент, что cos^2, то могу сказать что автор данного решение избавился от квадрата формулой понижения степеней
4cos^4x-5(2cos^2x-1)-1= 4cos^4x-10cos^2x+5-1 (+5-1=4)