Задать свой вопрос
*более 50 000 пользователей получили ответ на «Решим всё»
Задача 11611
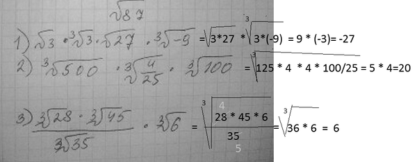
помогите пожалуйста номер 80,81,87(2,3)...
Условие
vk263992005
17.11.2016
помогите пожалуйста номер 80,81,87(2,3) срочно с решением
математика ВУЗ
1085
Все решения
SOVA
17.11.2016
.
Написать комментарий
Меню
Решим всё
Найти задачу
Категории
Статьи
Тесты
Архив задач
Присоединяйся в ВК