Задать свой вопрос   *более 50 000 пользователей получили ответ на «Решим всё»

Задача 11567 Все на картинке...

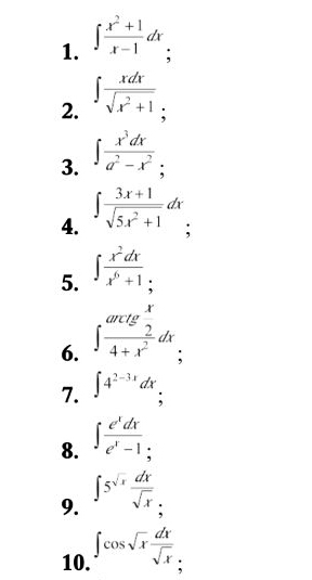
Условие

Все на картинке

предмет не задан 891

Решение

2. sqrt(x^2+1)+C
5. arctg(x^3)/3 +C
6. arctg^2(x/2)+C
7. 4^(2-3x)/(-3ln4) + C
8.ln|e^x-1|+C
9. 2*5^(sqrt(x))/ln5 +C
10. 2sinsqrt(x) + C

Написать комментарий

Меню

Присоединяйся в ВК