Задать свой вопрос   *более 50 000 пользователей получили ответ на «Решим всё»

Задача 11532 Найдите значение выражения...

Условие

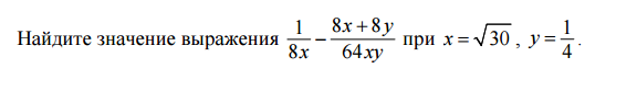
Найдите значение выражения 1/8-8x+8y/64xy при x=корень из 30 и y=1/4

математика 8-9 класс 43040

Решение

(1/8x)-(8(x+y)/64xy)=
=(1/8x)-((x+y)/8xy)=
=(y/8xy)-((x+y)/8xy)=
=(y-x-y)/(8xy)=-x/(8xy)=-1/(8y)
При у=1/4 получаем ответ
-1/(8*(1/4))=-1/2
О т в е т. -1/2=-0,5

Вопросы к решению (1)

Написать комментарий

Меню

Присоединяйся в ВК