Задать свой вопрос
*более 50 000 пользователей получили ответ на «Решим всё»
Задача 11494
Написать недостающие обозначения в...
Условие
vk260214297
13.11.2016
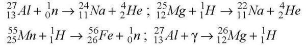
Написать недостающие обозначения в следующих ядерных реакциях:
физика ВУЗ
9792
Все решения
vk373384374
13.11.2016
Написать комментарий
Меню
Решим всё
Найти задачу
Категории
Статьи
Тесты
Архив задач
Присоединяйся в ВК