Задать свой вопрос
*более 50 000 пользователей получили ответ на «Решим всё»
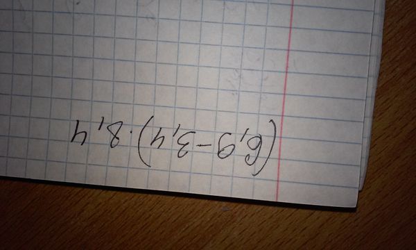
Задача 11322
Найдите значение выражения ...
Условие
vk373384374
07.11.2016
Найдите значение выражения
математика
1067
Решение
6,9-3,4=3,5
3,5+×8,4=29,40
Ответ:
29,4
Написать комментарий
Меню
Решим всё
Найти задачу
Категории
Статьи
Тесты
Архив задач
Присоединяйся в ВК