Задать свой вопрос
*более 50 000 пользователей получили ответ на «Решим всё»
Задача 11267
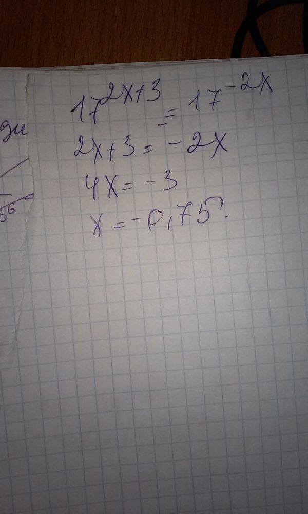
Решите уравнение 17^(2x+3)=(1/289)^x...
Условие
vk373384374
06.11.2016
Решите уравнение 17^(2x+3)=(1/289)^x
предмет не задан
1590
Решение
Ответ:
-0,75
Написать комментарий
Меню
Решим всё
Найти задачу
Категории
Статьи
Тесты
Архив задач
Присоединяйся в ВК