Задать свой вопрос
*более 50 000 пользователей получили ответ на «Решим всё»
Задача 11263
Найдите значение выражения...
Условие
vk373384374
06.11.2016
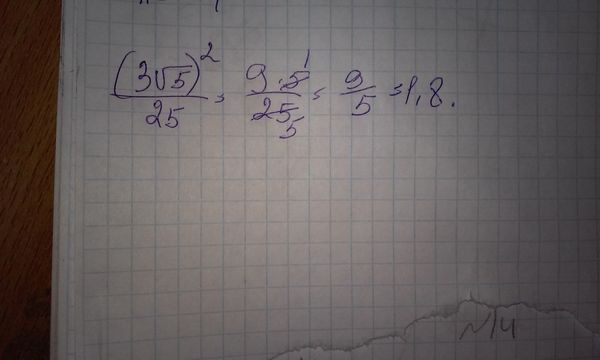
Найдите значение выражения (3sqrt(5))^2/25
предмет не задан
1029
Решение
Ответ:
1,8
Написать комментарий
Меню
Решим всё
Найти задачу
Категории
Статьи
Тесты
Архив задач
Присоединяйся в ВК