Задать свой вопрос   *более 50 000 пользователей получили ответ на «Решим всё»

Задача 11059 Каждому из четырёх неравенств в левом...

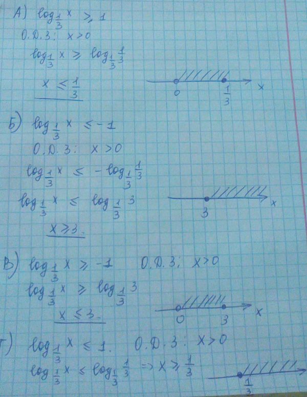
Условие

Каждому из четырёх неравенств в левом столбце соответствует одно из решений в правом столбце. Установите соответствие между неравенствами и их решениями.

НЕРАВЕНСТВА

А) log(1/3)x больше или равно 1
Б) log(1/3)x меньше или равно -1
В) log(1/3)x больше или равно -1
Г) log(1/3)x меньше или равно 1

РЕШЕНИЯ

математика 10-11 класс 24366

Решение

А-4
Б-1
В-2
Г-3

Написать комментарий

Меню

Присоединяйся в ВК