Задать свой вопрос   *более 50 000 пользователей получили ответ на «Решим всё»

Задача 11058 Решите уравнение x^2=-2x+24. Если...

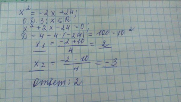
Условие

Решите уравнение x^2=-2x+24. Если уравнение имеет более одного корня, в ответе укажите больший из них.

математика 10-11 класс 8205

Решение

Ошибки в решение (1)

Написать комментарий

Меню

Присоединяйся в ВК