Задать свой вопрос   *более 50 000 пользователей получили ответ на «Решим всё»

Задача 11055 Найдите чётное пятизначное натуральное...

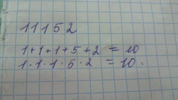
Условие

Найдите чётное пятизначное натуральное число, сумма цифр которого равна их произведению. В ответе укажите какое-нибудь одно такое число.

математика 10-11 класс 6962

Решение

Вопросы к решению (1)

Написать комментарий

Меню

Присоединяйся в ВК