Задать свой вопрос
*более 50 000 пользователей получили ответ на «Решим всё»
Задача 11010
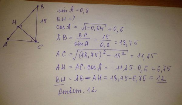
В треугольнике АВС угол С равен 90°, СН...
Условие
slava191
29.10.2016
В треугольнике АВС угол С равен 90°, СН — высота, ВС = 15, sinА = 0,8. Найдите ВН.
математика 10-11 класс
33277
Решение
vk165902784
29.10.2016
★
Написать комментарий
Меню
Решим всё
Найти задачу
Категории
Статьи
Тесты
Архив задач
Присоединяйся в ВК