Задать свой вопрос   *более 50 000 пользователей получили ответ на «Решим всё»

Задача 11000 Решите неравенство (4x+7)^2/(x-3) больше...

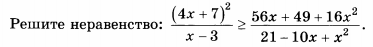
Условие

Решите неравенство (4x+7)^2/(x-3) больше или равно (56x+49+16x^2)/(21-10x+x^2)

математика 10-11 класс 8569

Решение

(4х+7)^2/(x-3) больше или равно (4х+7)^2/(x-3)(x-7);
(4х+7)^2/(x-3) больше или равно (4х+7)^2/(x-3)(x-7)больше или равно 0;
((4x+7)^2/(x-3)) * (1-(x-7)) больше или равно 0;
(4х+7)^2*(8-x)/(x-3)*(x-7) больше или равно 0;
(4x+7)^2*(x-8)/(x-3)(x-7) меньше или равно 0.

__-__ [-7/4] ___-___ (3) ____+____ (7) _-_ (8) __+_

О т в е т. (-бесконечность; 3) U (7;8)

Вопросы к решению (1)

Написать комментарий

Меню

Присоединяйся в ВК