Задать свой вопрос   *более 50 000 пользователей получили ответ на «Решим всё»

Задача 10999 В правильной шестиугольной призме...

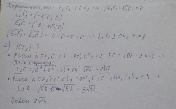
Условие

В правильной шестиугольной призме AB...E1F1 со стороной основания 4 и боковым ребром 2

а) Опустите перпендикуляр из точки С на прямую E1F1.
б) Найдите его длину.

математика 10-11 класс 8769

Решение

Ошибки в решение (1)

Все решения

Проводим FC ⊥ EF.
Треугольник EFC-прямоугольный, ∠СEF опирается на диаметр СЕ.
CЕ=8
По теореме Пифагора
СF^2=CE^2-FE^2=8^2-4^2=4sqrt(3)
По теореме о трех перпендикулярах СF1⊥EF
EF||E1F1.
значит, СF1⊥ E1F1

По теореме Пифагора
CF1^2=(FF1)^2+(CF)^2=2^2+48=52
СF1=2sqrt(13)
О т в е т. 2sqrt(13)

Написать комментарий

Меню

Присоединяйся в ВК