Задать свой вопрос
*более 50 000 пользователей получили ответ на «Решим всё»
Задача 10997
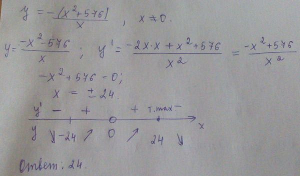
Найдите точку максимума функции...
Условие
slava191
29.10.2016
Найдите точку максимума функции y=-(x^2+576)/x
математика 10-11 класс
16520
Решение
vk165902784
29.10.2016
★
Написать комментарий
Меню
Решим всё
Найти задачу
Категории
Статьи
Тесты
Архив задач
Присоединяйся в ВК