Задать свой вопрос   *более 50 000 пользователей получили ответ на «Решим всё»

Задача 1099 На сторонах AD и BC параллелограмма ABCD...

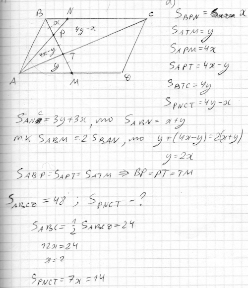
Условие

На сторонах AD и BC параллелограмма ABCD взяты соответственно точки M и N, причём M – середина AD, а BN : NC = 1 : 3.
а) Докажите, что прямые AN и AC делят отрезок BM на три равные части.
б) Найдите площадь четырёхугольника, вершины которого находятся в точках С, N
и точках пересечения прямой BM c прямыми AN и AC, если площадь
параллелограмма ABCD равна 48.

математика 10-11 класс 13470

Решение



Ответ: 14

Написать комментарий

Меню

Присоединяйся в ВК