Задать свой вопрос   *более 50 000 пользователей получили ответ на «Решим всё»

Задача 10986 Помогите продолжить вычисление интеграла...

Условие

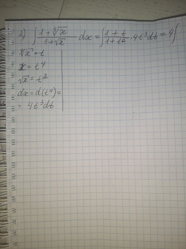
Помогите продолжить вычисление интеграла (1+корень 4ой степени из x)/(1+sqrt(x))

математика ВУЗ 1530

Решение

Далее неправильная дробь.
t^3(1+t)/(1+t^2)=(t^4+t^3)/(t^2+1).
Выделяем целую часть, делим углом
=(t^2+t-1)+ ((-t+1)/(t^2+1))
Теперь сумма трех интегралов
1) ∫(t^2+t-1)dt=(t^3/3)+(t^2/2)-t
2)∫(-t/(t^2+1))dt=-1/2ln(t^2+1)
3) ∫(1/(t^2+1))dt=arctgt

Сумму на еще умножить на 4 и прибавить констату С:
=4(t^3/3)+4(t^2/2)-4t-2ln(t^2+1)+4 arctgt + С
где t=x^(1/4)

Написать комментарий

Меню

Присоединяйся в ВК