Задать свой вопрос
*более 50 000 пользователей получили ответ на «Решим всё»
Задача 10977
Найдите точку минимума функции...
Условие
slava191
28.10.2016
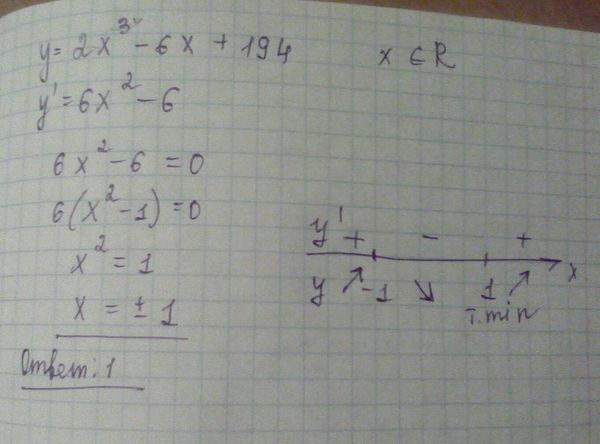
Найдите точку минимума функции y=2x^3-6x+194
математика 10-11 класс
11896
Решение
vk165902784
28.10.2016
★
Вопросы к решению (1)
Спрашивает:
vk222486212
А разве производная от 2х^3 не 6х^2
Отвечает:
vk165902784
точно, исправила
Написать комментарий
Меню
Решим всё
Найти задачу
Категории
Статьи
Тесты
Архив задач
Присоединяйся в ВК