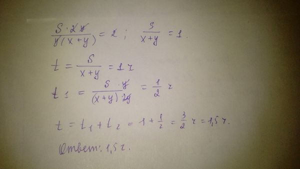
Обозначим место встречи буквой М.
Пусть скорость мотоциклиста х км в час, скорость автомобилиста у км в час.
До встречи они ехали t часов.
Мотоциклист проехал путь АМ, равный xt км, автомобилист проехал путь ВМ, уt км.
После встречи
автомобилист проехал путь АМ, равный 0,5у км.
0,5у=хt
Мотоциклист проехал путь МВ, равны 2x км
2х=yt
Находим t
t=0,5y/x и t=2x/y
Приравниваем
0,5у/х=2х/у
y^2=4x^2
y=2x
Cкорость автомобилиста в два раза больше скорости мотоциклиста.
Значит на путь МА мотоциклист затратил времени в два раза больше, чем автомобилист. на путь АМ ( автомобилист затратил 0,5 часа) Поэтому мотоциклист затратил 1 час.
И 2 часа мотоциклист проезал от М до В
Всего 1 час + 2 часа=3 часа
О т в е т. 3 часа
