Задать свой вопрос   *более 50 000 пользователей получили ответ на «Решим всё»

Задача 10953 Найдите высоту правильной треугольной...

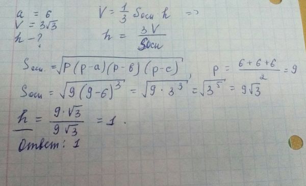
Условие

Найдите высоту правильной треугольной пирамиды, если стороны ее основания равны 6, а объем равен 3sqrt(3).

математика 10-11 класс 26760

Решение

Написать комментарий

Меню

Присоединяйся в ВК