Задать свой вопрос   *более 50 000 пользователей получили ответ на «Решим всё»

Задача 10944 При каких значениях параметра а система...

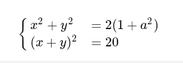
Условие

При каких значениях параметра а система имеет два решения
system{x^2+y^2=2(1+a^2);(x+y)^2=20}

математика 8-9 класс 1301

Решение

x+y=sqrt(20) или х+у=-sqrt(20)- две параллельные между собой прямые, угол наклона к оси Ох 135 градусов.
х^2+y^2=R^2 - окружность с центром в точке (0;0).
Система будет иметь два решения, когда окружность будет касаться этих двух прямых.
Найдем радиус такой окружности из прямоугольного равнобедренного треугольника с гипотенузой sqrt(20).
R=sqrt(20)sin45 градусов=sqrt(10)
Найдем при каких а:
2(1+a^2)=(sqrt(10))^2
a^2=4
a=-2 или а=-2
О т в е т. а=-2 и а=2

Написать комментарий

Меню

Присоединяйся в ВК