Задать свой вопрос   *более 50 000 пользователей получили ответ на «Решим всё»

Задача 10914 Заказ в 180 деталей первый рабочий...

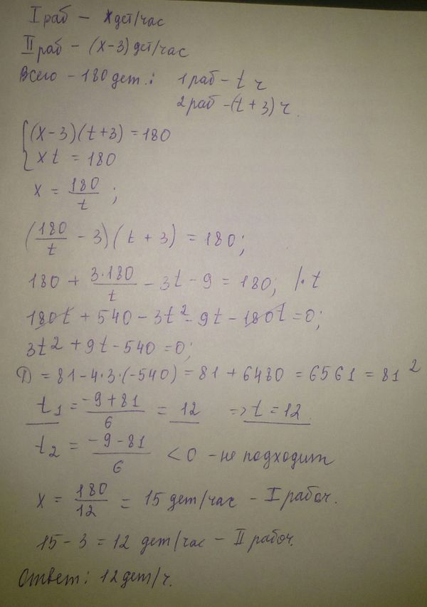
Условие

Заказ в 180 деталей первый рабочий выполняет на 3 часа быстрее, чем второй рабочий. Сколько деталей в час делает второй рабочий, если известно, что он за час делает на 3 детали меньше, чем первый рабочий?

математика 10-11 класс 23137

Решение

Написать комментарий

Меню

Присоединяйся в ВК