Задать свой вопрос
*более 50 000 пользователей получили ответ на «Решим всё»
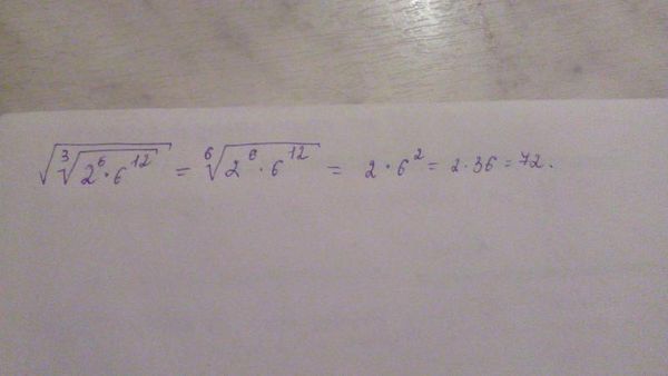
Задача 10873
корень из трех корней (2^6*6^(12))...
Условие
Efrimidi
26.10.2016
корень из трех корней (2^6*6^(12))
математика 10-11 класс
2971
Решение
vk165902784
26.10.2016
★
Написать комментарий
Меню
Решим всё
Найти задачу
Категории
Статьи
Тесты
Архив задач
Присоединяйся в ВК