Задать свой вопрос   *более 50 000 пользователей получили ответ на «Решим всё»

Задача 10851 а) Решите уравнение sin^2x = 5cos(5Pi/2...

Условие

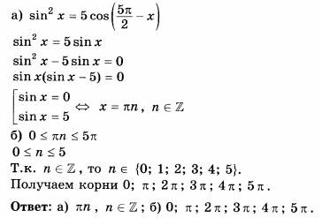
а) Решите уравнение sin^2x = 5cos(5Pi/2 - x)
б) Найдите все корни этого уравнения, принадлежащие промежутку [0; 5Pi]

математика 10-11 класс 14927

Решение



Ответ: В решение

Вопросы к решению (2)

Написать комментарий

Меню

Присоединяйся в ВК